함수에는 여러가지 요소를 포함할 수 있죠. 따라서, 다양한 수학적 요소들이 포함될 수 있는, 수많은 복잡한 함수에 대해서 우리는 모두 정의내릴 수 없습니다. 예를들어, f(x) = sinx + ln(6x) + cos(2x) 라는 함수는, 함수안에 여러가지 함수가 포함된 경우이기 때문에, 상당히 복잡하다고 할 수 있습니다.
<테일러 급수 - Taylor's series>
테일러 급수(Taylor's series)를 이용하면, 복잡하거나 우리가 잘 모르는 함수를 다항함수(polynomial function)로 대체 할 수 있습니다.
다항함수란, 단항식들의 뺄셈 혹은 덧셈으로 이루어진 식들로, 예를들어 Y = ax^3 + by^2 + c*xy +d 를 들 수 있습니다. 다항식은, 변수의 개수에 따라, 일변수(univariate), 이변수(bivariate), 다변수(multivariate) 등으로 구분되죠.
다양한 함수를 다항함수로 표현하는 방법을 테일러 급수(Taylor's series) 라고 합니다.
y = f(x) 함수에 대한, 테일러 급수가 성립하기 위한 조건은, y = f(x) 함수가 x = a 에서 계속적으로(무한번) 미분가능 (infinitely differentiable)해야 한다는 것입니다.
어떠한 함수에 대해 x = a에서 계속적으로 미분 가능한 경우, x = a의 근처에서 아래의 관계식의 좌변과 우변이 근사하게 됩니다.

더 이해하기 쉽도록, 우변을 풀어서 설명하자면,

<유도>
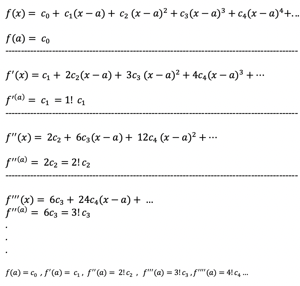
그렇다면, 어떻게 다항 함수가 아닌 함수를 다항함수로 표현할 수 있게 되는것인지 유도해 봅시다.
Y = f(x) 함수가 x = a 에서 계속적으로(무한번) 미분가능하여, 이 함수를 다항함수로 나타낼 수 있다고 가정할때,
f(x)를 c0, c1, c2, c3,... 등의 상수로 표현된 x의 다항함수를 만듭시다.
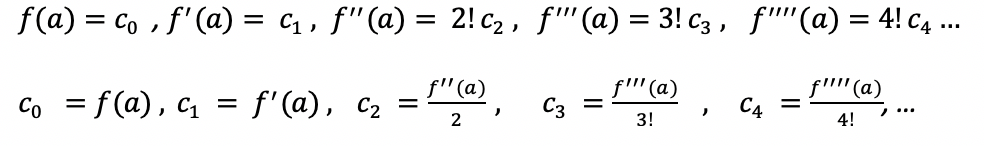
f(x) 의 a에 대한 첫번째 미분식은 c1, 두번째 미분식은 2*c2, 세번째 미분식은 3!*c3 으로 표현되는것을 볼 수 있죠.

f(x) 의 a에 대한 미분식을 c라는 상수로 표현하였습니다.
그렇다면, 이제 c 상수를 f(x)의 a에 대한 미분식으로 표현해봅시다.

다음의 관계식을 일반화 해보자면 다음과 같은 관계식을 도출 할 수 있습니다.

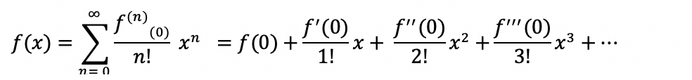
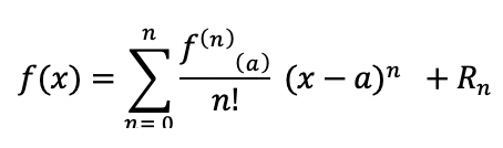
이런 과정을 통해, Y = f(x) 함수를 다항함수로 근사시킬때, 다항식을 이루는 각 항의 계수를 'f(x)를 a 에 대해서 n번 미분한 후 n 팩토리얼(factorial)로 나누어준 수'로 표현하게 됩니다. 따라서 y = f(x) 함수가 x = a 에서 계속적으로(무한번) 미분가능하다는 조건이 만족된다면, 최종적으로 Y = f(x) 를 x = a 근처의 구간에서 다음의 다항식으로 근사시킬 수 있게 되는것이죠.

위의 '근처의 구간'이라는 애매한 표현을 사용한 이유는, x = a 에서 구한 테일러 급수가 어느정도 구간 (x-a, x+a) 까지 유효하는지는 함수마다 다르기 때문입니다. x = a 에서 가까울수록, 테일러 급수에 의한 다항 근사식과 f(x)함수의 오차가 줄어듭니다.
또한, 근사 다항식의 차수가 높을 수록 f(x)를 더 잘 근사시키기 때문에, 테일러 급수에서는 무한대로 근사식을 끌고갈것을 가정한겁니다.
x가 a 에 매우 근사하다면, 굳이 무한대까지 테일러 급수를 끌고가지 않아도 근사오차가 거의 없다고 할 수 있습니다.
< 매클로린 급수 - Maclaurin's series>
테일러 급수를 언급할때, 항상 매클로린 급수가 언급된다고 하여도 과언이 아닌데요.
매클로린 급수(Maclaurin's series)는, 테일러 급수에서 a 에 0을 대입한 식이라고 생각하시면 됩니다. 즉, a = 0 에서의 테일러 급수 입니다.
이런 특수한 경우를 '매클로린 급수'라고 따로 언급한 이유는, 테일러 급수가 그만큼 a = 0 에서 많이 응용되고 사용된다는 뜻이겠죠.

무한대로 미분이 가능한 함수들은 sin(x), cos(x), tan(x), e^x, ln(1+x) 등이 있습니다.
이들은 x = 0 을 대입해 매클로린 급수를 사용하면, 매우 규칙적인 모습을 하는데요, 이는 매클로린 급수가 따로 정의된 이유이기도 하죠.
구체적으로 위의 함수들을 어떻게 다항함수로 나타내기 되는지 몇가지 주요 함수들을 통해 살펴봅시다.
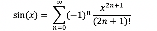
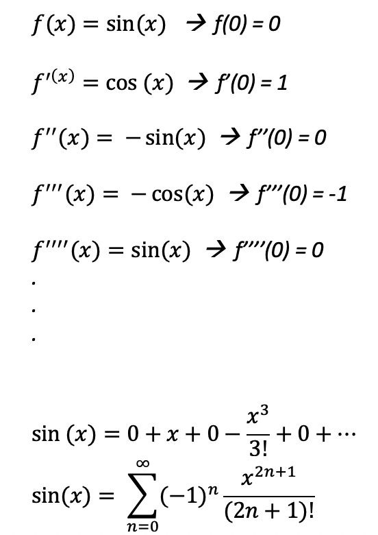
<sin 함수>

sin(x) 함수는 모든 실수에서 매끄러운(smooth) 모습을 하는것을 볼수 있습니다. 모든 실수에 대해 미분이 가능(differentiable)하죠.
따라서 sin(x) 함수를 해석함수(analytic function)라고 할 수 있죠.
그중에 구체적으로 x = 0 근처에서 매클로린 급수에 의해 다항 근사식을 구해봅시다.


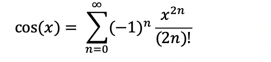
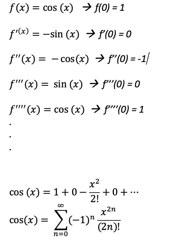
<cos 함수>

cos(x) 함수는 모든 실수에서 매끄러운(smooth) 모습을 하는것을 볼수 있습니다. 모든 실수에 대해 미분이 가능(differentiable)하죠.
따라서 cos(x) 함수는 해석함수(analytic function)라고 할 수 있죠.
그중에 구체적으로 x = 0 근처에서 매클로린 급수에 의해 다항 근사식을 구해봅시다.


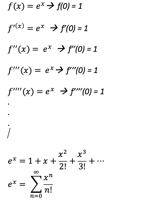
< 지수 함수 - exponential function >

지수 함수는 모든 실수에서 매끄러운(smooth) 모습을 하는것을 볼수 있습니다. 모든 실수에 대해 미분이 가능(differentiable)하죠.
따라서 지수 함수는 해석함수(analytic function)라고 할 수 있죠.
그중에 구체적으로 x = 0 근처에서 매클로린 급수에 의해 다항 근사식을 구해봅시다.

< 로그함수 - log function >

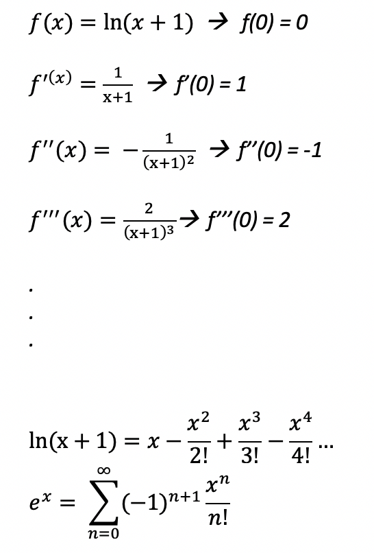
ln(x) 함수는 x>0의 범위에서 매끄러운(smooth) 모습을 하는것을 볼수 있습니다. x>0범위에 대해 미분이 가능(differentiable)하죠.
따라서 ln(x) 함수는 해당 범위에서 분석적(analytic)입니다.
ln(x) 함수는 x = 0에서 미분가능하지 않기 때문에, 근사식을 구할 수 없습니다.

따라서, 우리는 매클로린 급수에 의해 다항 근사식 예시를 찾고 있기에, ln(1+x)함수를 이용합시다.
ln(1+x) 함수는 |x|<1 범위에서 미분 가능하기 때문에, 해당 범위에서 다항 근사식을 구할 수 있습니다.
그중에 구체적으로 x = 0 근처에서 매클로린 급수에 의해 다항 근사식을 구해봅시다.

* -log(1-x) 함수 역시 |x|<1의 범위에서 매클로린 급수에 의해 다항 근사식이 성립됩니다.
< 테일러 정리 - Taylor's Theorem>
테일러 급수(Taylor's series)는, y = f(x) 에 대하여 x = a 에서 무한번 미분 가능한 경우 성립된다는 가정하에, 근사식을 성립시켰습니다.
테일러 정리(Taylor's theorem)는, y = f(x) 에 대하여 x = a 에서 (n+1)번 미분 가능한 경우 함수 f(x)를 n차 다항함수로 근사시킬 수학적 근거를 제공하였습니다.

당연하게도, 테일러 정리를 이용할때, 무한대의 미분이 가능하지 않음으로, 오차가 발생하죠. 즉, 근사식이 완벽하게 f(x)에 근사되기에 무리가 있습니다. 그럼에도 불구하고, 비교적 짧은 시간에 원래 함수와 비슷한 다항함수를 구할 수 있다는점에서 이점이 있죠.
테일러 정리를 통한 근사식에서 (n+1)번째 항을 R(n)이라고 표기하며, 나머지항이라고 부립니다.

n이 무한대로 갈수록, Rn 은 0에 근사하게 됩니다. 따라서, 테일러 정리식에서 n을 무한대로 설정하는 경우 Rn은 소멸되어 테일러 급수(Taylor's series)형태를 띄는것을 보실 수 있겠죠?
< 주의 >
우리는 위의 예시에서, f(x) 함수에서 x=a 에 대해서 무한대로(혹은 n번) 미분이 가능한 경우 x=a 근처에서 f(x)에 근사하는 다항함수식을 유도할 수 있다는것을 살펴보았습니다. 주의하셔야 한다고 말씀드리고 싶은 점은, 무한번의 미분이 가능한 f(x) 식을 가지고 테일러 급수를 통해 f(x)에 근사하는 다항함수를 찾아낸다고 하여도, 이는 다항함수가 전체 f(x) 함수값에 대하여 수렴한다는 뜻이 아닌, x=a 근처에서 f(x) 에 가까워진다는것을 의미합니다.
즉, x=a 근처에서는 미분을 많이 할수록(급수- degree 가 올라갈수록) 테일러 급수가 f(x)에 근사하게 되지만, x=a 의 근처를 벗어난 범위에 대해서는, 우리는 아무런 결과도 장담할 수 없는것이죠. 이점 꼭 기억해 주세요!
오늘도 봐주셔서 감사합니다:)
'Math concept' 카테고리의 다른 글
| 선형 보간법과 적용 / Linear Interpolation and Application (0) | 2021.05.19 |
|---|---|
| 행렬의 고유값과 고유벡터/ R (0) | 2021.02.16 |